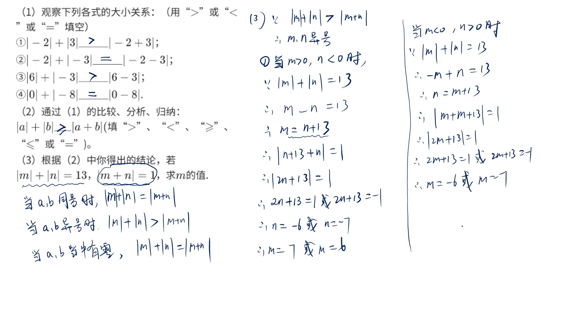
中考语文文学常识100题(高频) barry001 今天 1 默认 摘要: 此外还有“案”,“案”相当于今天的托盘如成语中的“举案齐眉”编辑尔雅标签中考语文 备战中考 文学常识。... 此外还有“案”,“案”相当于今天的托盘如成语中的“举案齐眉”编辑尔雅标签中考语文 备战中考 文学常识。 中考语文古诗词文学常识,100张试卷高频统计而成!诗经 我国第一部诗歌总集,共305首,分为“风”“雅”“颂”三个部分。 标签: 中考语文文学常识100题(高频) 打赏 觉得文章有用就打赏一下文章作者 支付宝扫一扫打赏 微信扫一扫打赏 海报 阅读 QQ 分享 微博分享 微信分享 分享 上一篇中考化学方程式汇总(必背100个) 下一篇高考成绩查询APP(官网同步)(广东高考成绩查询2015在线查询) 中考化学方程式汇总(必背100个) 上一篇 高考成绩查询APP(官网同步)(广东高考成绩查询2015在线查询)下一篇 相关推荐 中考语文文学常识100题(高频) 七上数学《绝对值》学霸的思路真的很清晰! 2025-10-20 中考语文文学常识100题(高频) 2025-10-20 6.道德与法治(20条) 2025-10-20 2025秋新人教八上英语写作突破系列 2025-10-20 单元检测,七上英语Starter 2025-10-20 练习中考数学二次函数经典问法 2025-10-19 历史老师说:繁琐的世界古代史一张表格搞定 2025-10-19 九年级化学第一次月考化学试卷(九年级化学第一次月考试卷及答案) 2025-10-19