本文作者:barry001

七年级有理数专题计算练习(七年级有理数计算100题答案)

barry001 10-04 13
中小学全科学习资料下载 立即领取
七年级有理数专题计算练习(七年级有理数计算100题答案)摘要: HELLO, SEPTEMBER HELLO, AUTUMN七年级有理数混合计算专项复习_1你必须知道__1计算的基本法则包括有理数的加。今日分享七上有理数的混合运算专题训练10...

HELLO, SEPTEMBER HELLO, AUTUMN七年级有理数混合计算专项复习_1你必须知道__1计算的基本法则包括有理数的加。

今日分享七上有理数的混合运算专题训练100题共13页有答案01试看内容展示拉到文末获取电子版获取方式因篇幅限制,仅。

七年级有理数专题计算练习(七年级有理数计算100题答案)

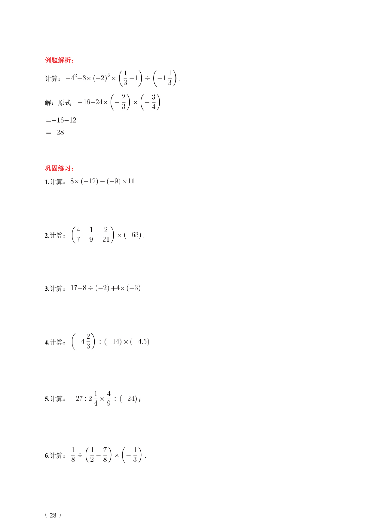
计算能力是数学的“硬功夫”,有理数的计算则是计算的基础 郭老师编辑有理数计算训练50题,可以每天练10道,交叉着做把步。

七上数学专题02有理数运算及应用复习课完整版文末下载系统梳理了七年级上册有理数运算的核心知识点,包括数轴绝对值乘方及。

更多19年级资料关注获取新七年级上册数学有理数计算练习30道,有详细答案,有计划的提高孩子的计算能力,帮助孩子打。

七年级有理数专题计算练习(七年级有理数计算100题答案)

七年级上册数学有理数混合运算专项练习#数学篇幅有限,资源仅展示部分,完整电子版请联系我领取。

觉得文章有用就打赏一下文章作者

支付宝扫一扫打赏

微信扫一扫打赏

阅读
分享
中小学全科学习资料下载 立即领取